1. Soil Behavior Type (non-normalized), SBT Robertson (1990)
2. Unit weight, g either constant or based on Non-normalized SBT (Lunne et al., 1997 and table below)
3. Soil Behavior Type (Normalized), SBTn Robertson (1990), using Qtn
4. SBTn Index, Ic = ((3.47 – log Qt1)2 + (log Fr + 1.22)2)0.5
5. Normalized Cone resistance, Qtn (n varies with Ic)
Qtn = ((qt - svo)/pa) x (pa/(s'vo)n and recalculate Ic, then iterate:

Iterate until the change in n, Dn < 0.01
6. Estimated permeability, kSBT (based on Normalized SBTn) (Lunne et al., 1997 and table below)
7. Equivalent SPT N60, (blows/ft or blows/30cm) Lunne et al. (1997)
|
= 8.5 |
|
8. Relative Density, Dr, (%) Dr2 = Qtn / CDr
Only SBTn 5, 6, 7 & 8 ‘0’ in zones 1, 2, 3, 4 & 9
9. Friction Angle, f', (degrees)

Only SBTn 5, 6, 7 & 8 ’0’ in zones 1, 2, 3, 4 & 9
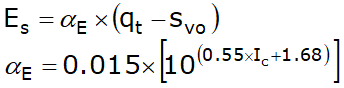
10. Young’s modulus, Es
Only when Ic < 2.60
11. Constrained Modulus, M

12. Undrained shear strength, su = (qt - svo) / Nkt
Only SBTn 1, 2, 3, 4 & 9 ‘0’ in zones 5, 6, 7 & 8
13. Over Consolidation ratio, OCR = kocr Qt1
Only SBTn 1, 2, 3, 4 & 9 ‘0’ in zones 5, 6, 7 & 8
14. Small strain shear modulus, Go

The following updated and simplified SBT descriptions have been used in the software:
SBT Zones |
SBTn Zones |
||
1 |
sensitive fine grained |
1 |
sensitive fine grained |
2 |
organic soil |
2 |
organic soil |
3 |
clay |
3 |
clay |
4 |
clay & silty clay |
4 |
clay & silty clay |
5 |
clay & silty clay |
||
6 |
sandy silt & clayey silt |
||
7 |
silty sand & sandy silt |
5 |
silty sand & sandy silt |
8 |
sand & silty sand |
6 |
sand & silty sand |
9 |
sand |
||
10 |
sand |
7 |
sand |
11 |
very dense/stiff soil* |
8 |
very dense/stiff soil* |
12 |
very dense/stiff soil* |
9 |
very dense/stiff soil* |
* heavily overconsolidated and/or cemented
Estimated Permeability (see Lunne et al., 1997)
SBTn |
Permeability (ft/sec) |
(m/sec) |
1 |
3 x 10-8 |
1 x 10-8 |
2 |
3 x 10-7 |
1 x 10-7 |
3 |
1 x 10-9 |
3 x 10-10 |
4 |
3 x 10-8 |
1 x 10-8 |
5 |
3 x 10-6 |
1 x 10-6 |
6 |
3 x 10-4 |
1 x 10-4 |
7 |
3 x 10-2 |
1 x 10-2 |
8 |
3 x 10-6 |
1 x 10-6 |
9 |
1 x 10-8 |
3 x 10-9 |
Estimated Unit Weight (see Lunne et al., 1997)
SBT |
Approximate Unit Weight (lb/ft³) |
(kN/m³) |
1 |
111.4 |
17.5 |
2 |
79.6 |
12.5 |
3 |
111.4 |
17.5 |
4 |
114.6 |
18.0 |
5 |
114.6 |
18.0 |
6 |
114.6 |
18.0 |
7 |
117.8 |
18.5 |
8 |
120.9 |
19.0 |
9 |
124.1 |
19.5 |
10 |
127.3 |
20.0 |
11 |
130.5 |
20.5 |
12 |
120.9 |
19.0 |